This website requires JavaScript.
Explore
Help
Register
Sign In
sem
/
CVML-MachineLearning
Watch
1
Star
0
Fork
0
You've already forked CVML-MachineLearning
Code
Issues
Pull Requests
Actions
Packages
Projects
Releases
Wiki
Activity
Files
5769025c4806c4c1ddab1d9183c14b5cb55e6290
CVML-MachineLearning
/
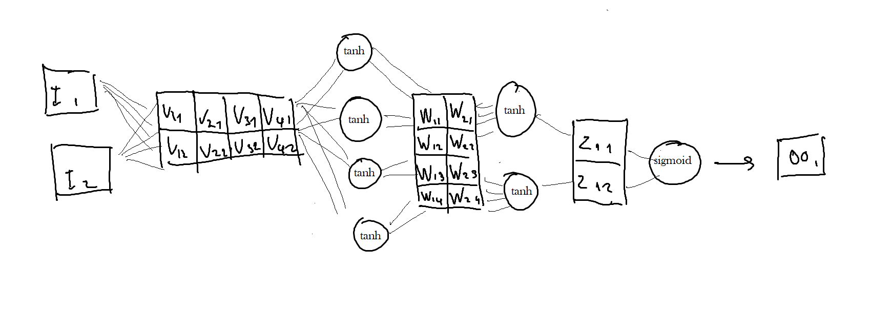
data
/
opdr5-2-b.png
Sem van der Hoeven
a5418d7b02
[ADD] opdr 5.2
2021-06-07 15:43:41 +02:00
52 KiB
1700x605px
Raw
History