This website requires JavaScript.
Explore
Help
Register
Sign In
sem
/
CVML-MachineLearning
Watch
1
Star
0
Fork
0
You've already forked CVML-MachineLearning
Code
Issues
Pull Requests
Actions
Packages
Projects
Releases
Wiki
Activity
Files
2130435a2dd4a63c66f7d8009a06632d70894413
CVML-MachineLearning
/
data
/
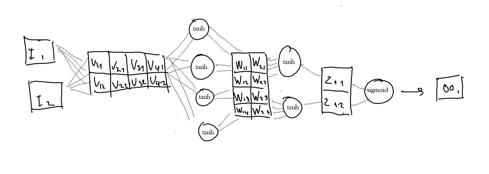
opdr5-2-b.png
Sem van der Hoeven
a5418d7b02
[ADD] opdr 5.2
2021-06-07 15:43:41 +02:00
52 KiB
1700x605px
Raw
History